The Dictionary Of Photography

A True Historic Record Of The Art & Practice Of Photography 100 Years Ago.

Home | About | Photography | Contact






Diaphragms
It is true these measurements show but little difference to the actual diameter of stop, but in portrait lenses the difference is greater, and even in small diameter lenses the difference is sufficiently large to be taken into account when testing lenses. In practice it will be necessary to calculate out the true diameter of diaphragms for the first two only, the smaller diameters being obtained by dividing by 2, 4, etc. Another method of making the necessary allowance of the condensation of the light by the front lens is to cut the stops in fractions of a focus less than the true focus of the lens, and this may be found in the following manner: -
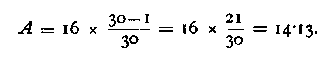
Or to take the example given above, viz., a lens of 16-in. focus front lens focus 30 in., the distance from lens to diaphragm plane being 1 in., we get
We therefore cut our apertures for a 14-13-^. focus instead of 16-in. focus. There is one point in connection with diaphragms which it is essential to note, and that is, the ratio aperture is calculated from the equivalent focus, but that in photographing near objects, such as portraits or line subjects, we have to rack out the camera considerably, and that therefore the ratio aperture of any given diaphragms decreases in proportion to the racking out. An example will make this plainer, perhaps - for reproducing a diagram full size with an focus lens. The distance
between the lens and focussing screen must be 17 in We have found that a diaphragm marked will give the requisite
215